Volume 1 Issue 2
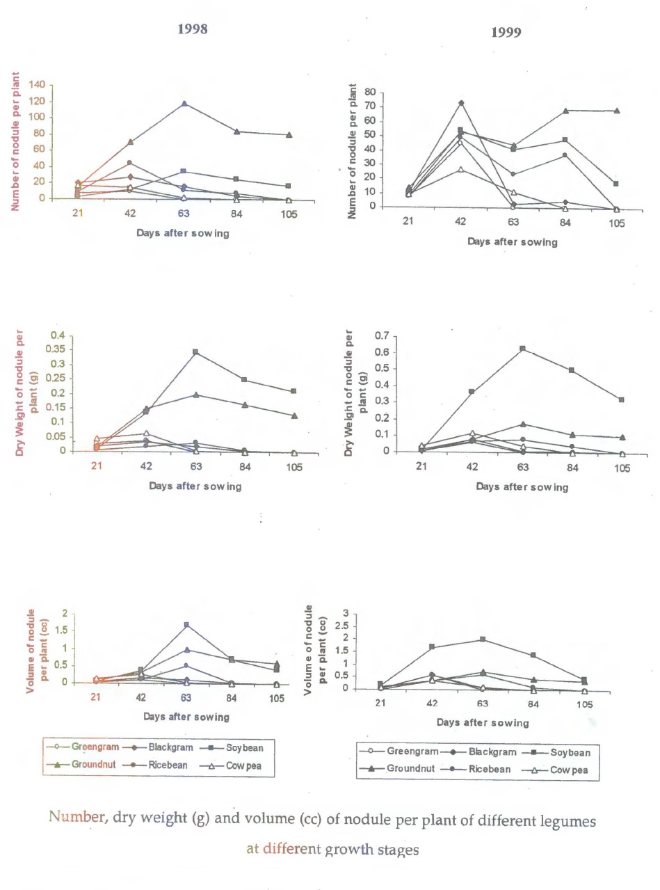
Studies on performance of different rainy season legumes with respect to their nodulation,
NPK content, uptake and residual soil fertility in the Entisol of West Bengal
Author(s): P. GHOSH, A. P. PATRA ANDS. S.NAYEK

Fig 1: Monthly distribution of rainfall during the cropping season


Download Full Article : Click Here